Blog
English Paper 2 Form 4 2020
simple front view male reproductive system diagram
simple present tense exercises fill in the blanks pdf
simple past tense of lend brainly
simple and compound interest worksheet pdf
simple present tense exercises with answers doc
simbol untuk bahan kimia yang mudah terbakar
simple plant cell and animal cell drawing
simple past tense of growl
English Paper 2 Form 4
2020 English Form 4 Reading Comprehension Writing
Psle Foundation English 2020 Paper 2 Answer Key Yayasan Mendaki
Maranda High School September Form 4 English Paper 2 September 2019 Muthurwa Com In 2020 Exam Papers English Paper High School
Penciltutor S Answers To 2020 O Level Papers Suggested Answers To 2019 O Level English Language 1128 Paper 1
English Paper 2 Form 4
Legacy Lareviewofbooks Org
Psle Standard English 2020 Paper 2 Answer Key Yayasan Mendaki
2
2
Https Penciltutor Blogspot Com 2018 10 2018 O Level English Language 1128 Html
Buku Latihan Modul A Kssm English Form 4 Shopee Singapore
2
2
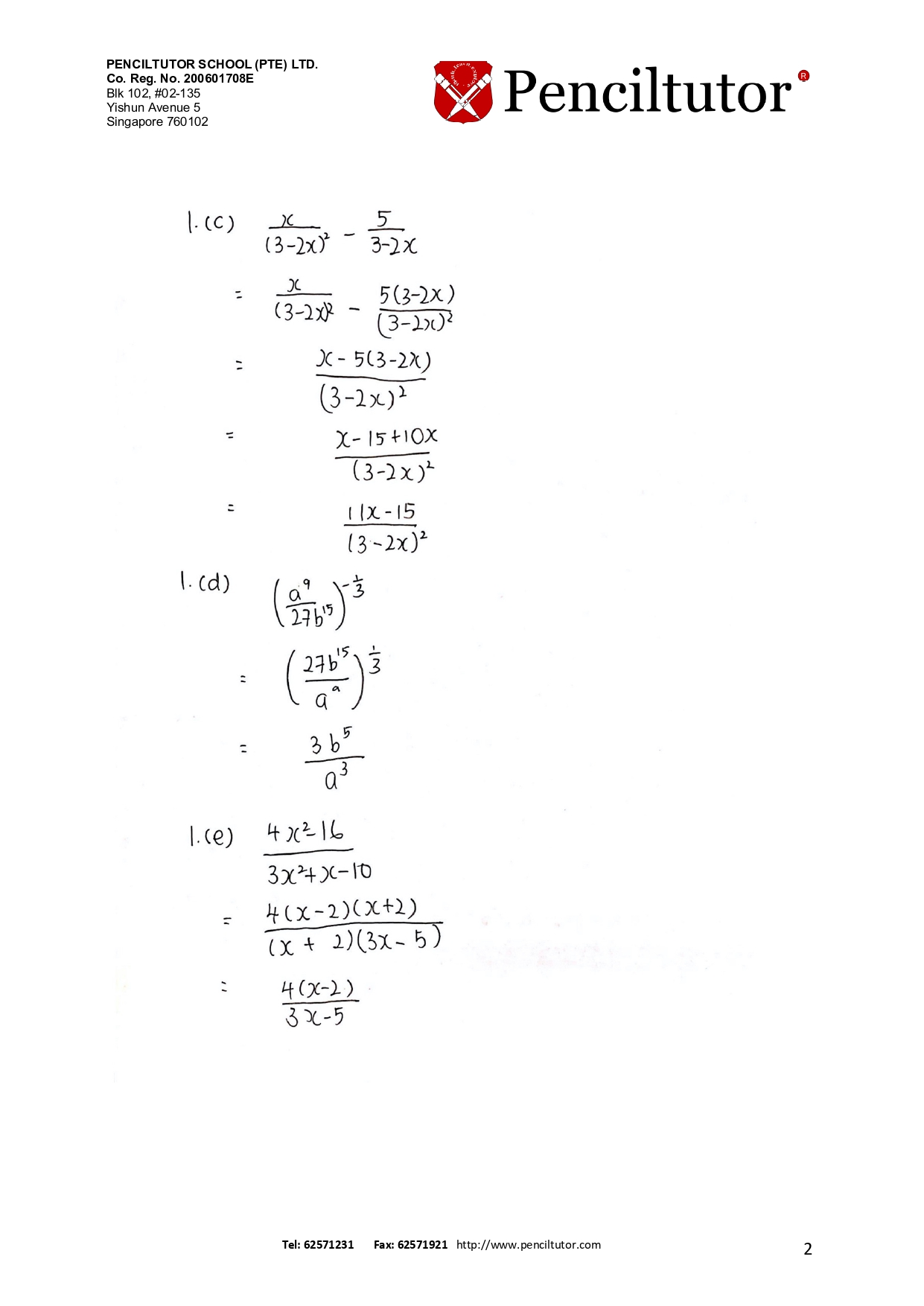
Penciltutor S Answers To 2020 O Level Papers
2
English Paper 2 Form 4
Penciltutor S Answers To 2020 O Level Papers
Maranda High School English Paper 2 Mid Term 1 2020 Past Paper Muthurwa Com
English Exercise For Form 4 As The Smk Kelibang Official Facebook
Source :
pinterest.com
Random Posts
Subject Verb Agreement Rules With Examples Pdf
Sumpah Naim Daniel Chord Ukulele
Sumbangan Tamadun China Kepada Peradaban Dunia Yang Masih Kekal
Surah Al Humazah Translation In English
Surah Al Fatihah Dan Maksudnya
Surah Al Baqarah Ayat 255 Rumi
Surah Al Falaq Dan Terjemahannya
Sungai Terpanjang Di Dunia Terletak Dibenua Yang Ditunjuk Nomor
Sultan Muhammad Al Fateh Movie Download
Surah Al Humazah Arabic English Translation
Subject Verb Agreement Worksheets Pdf Grade 7
Surah Al Ikhlas Dan Terjemahannya
Surah Al Baqarah Ayat 216 Terjemahan
Surah Al Baqarah Ayat 212 Dan Artinya
Surah Al Baqarah Ayat 201 Dalam Rumi
Surah Al Baqarah Ayat 219
Surah Al Baqarah Ayat 219 Urdu Translation
Sum Of Geometric Series Formula To Infinity
Surah Al Humazah Word By Word Urdu
Surah Al Hujurat Ayat 12 Beserta Artinya Per Kata